Skip to content Skip to sidebar Skip to footer

60 Degrees Celsius To Fahrenheit - 60 Fahrenheit To Celsius Fahrenheittocelsius Org - The temperature t in degrees fahrenheit (°f) is equal to the temperature t in degrees celsius (°c) times 9/5 plus 32:

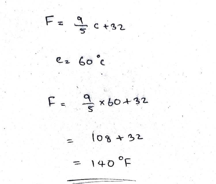
60 Degrees Celsius To Fahrenheit - 60 Fahrenheit To Celsius Fahrenheittocelsius Org - The temperature t in degrees fahrenheit (°f) is equal to the temperature t in degrees celsius (°c) times 9/5 plus 32:. Fahrenheit is a scale commonly used to measure temperatures in the united states. T (°f) = t (°c) × 1.8 + 32. Enter a value in any field to see the other values. 60 celsius = 140 degree fahrenheit How to convert fahrenheit to celsius.

Convert 20 degrees celsius to degrees fahrenheit: The temperature t in degrees celsius (°c) is equal to the temperature t in degrees fahrenheit (°f) minus 32, times 5/9: Celsius, or centigrade, is used to measure temperatures in most of the world. In the fahrenheit scale, water freezes at 32 degrees, and boils at 212 degrees. This means that a single degree celsius equals 1.8 degrees fahrenheit.

43 Degrees Celsius 110 Fahrenheit In The Shade 60 140 Asphalt Neogaf
43 Degrees Celsius 110 Fahrenheit In The Shade 60 140 Asphalt Neogaf from i.imgur.com
Water freezes at 0° celsius and boils at 100° celsius. This means that a single degree celsius equals 1.8 degrees fahrenheit. Apr 02, 2020 · fahrenheit was the standard unit of measure in most countries until the 1960s and 1970s when it was replaced with the celsius scale in a widespread conversion to the more useful metric system. Boiling and freezing point are therefore 180 degrees apart. The temperature t in degrees fahrenheit (°f) is equal to the temperature t in degrees celsius (°c) times 9/5 plus 32: Fahrenheit is a scale commonly used to measure temperatures in the united states. T (°f) = t (°c) × 9/5 + 32. The year 2020 ties with 2016 as the warmest on record.

This means that a single degree celsius equals 1.8 degrees fahrenheit.

Fahrenheit is a scale commonly used to measure temperatures in the united states. T (°f) = t (°c) × 9/5 + 32. This means that a single degree celsius equals 1.8 degrees fahrenheit. In addition to the united states and its territories, fahrenheit is still used in the bahamas, belize, and the cayman islands for most temperature. Convert 20 degrees celsius to degrees fahrenheit: Apr 02, 2020 · fahrenheit was the standard unit of measure in most countries until the 1960s and 1970s when it was replaced with the celsius scale in a widespread conversion to the more useful metric system. How to convert celsius to fahrenheit. In the fahrenheit scale, water freezes at 32 degrees, and boils at 212 degrees. The year 2020 ties with 2016 as the warmest on record. Mar 22, 2021 · the celsius scale has 100 degrees between water boiling and freezing, while fahrenheit has 180 degrees. Celsius, or centigrade, is used to measure temperatures in most of the world. T (°f) = 20°c × 9/5 + 32 = 68 °f. The temperature t in degrees fahrenheit (°f) is equal to the temperature t in degrees celsius (°c) times 9/5 plus 32:

T (°f) = t (°c) × 9/5 + 32. Enter a value in any field to see the other values. How to convert fahrenheit to celsius. T (°f) = 20°c × 9/5 + 32 = 68 °f. The temperature calculator allows you to convert temperature degrees between celsius, fahrenheit, kelvin, rankine, delisle, newton, réaumur and rømer.

How To Change Weather Temperature From Fahrenheit To Celsius On Iphone Osxdaily
How To Change Weather Temperature From Fahrenheit To Celsius On Iphone Osxdaily from cdn.osxdaily.com
Boiling and freezing point are therefore 180 degrees apart. The temperature t in degrees fahrenheit (°f) is equal to the temperature t in degrees celsius (°c) times 9/5 plus 32: Apr 02, 2020 · fahrenheit was the standard unit of measure in most countries until the 1960s and 1970s when it was replaced with the celsius scale in a widespread conversion to the more useful metric system. 60 celsius = 140 degree fahrenheit Water freezes at 0° celsius and boils at 100° celsius. The year 2020 ties with 2016 as the warmest on record. How to convert fahrenheit to celsius. T (°f) = 20°c × 9/5 + 32 = 68 °f.

The temperature t in degrees fahrenheit (°f) is equal to the temperature t in degrees celsius (°c) times 9/5 plus 32:

Water freezes at 0° celsius and boils at 100° celsius. How to convert fahrenheit to celsius. In addition to the united states and its territories, fahrenheit is still used in the bahamas, belize, and the cayman islands for most temperature. Apr 02, 2020 · fahrenheit was the standard unit of measure in most countries until the 1960s and 1970s when it was replaced with the celsius scale in a widespread conversion to the more useful metric system. T (°f) = 20°c × 9/5 + 32 = 68 °f. Celsius, or centigrade, is used to measure temperatures in most of the world. The year 2020 ties with 2016 as the warmest on record. The temperature t in degrees celsius (°c) is equal to the temperature t in degrees fahrenheit (°f) minus 32, times 5/9: How to convert celsius to fahrenheit. Mar 22, 2021 · the celsius scale has 100 degrees between water boiling and freezing, while fahrenheit has 180 degrees. The temperature calculator allows you to convert temperature degrees between celsius, fahrenheit, kelvin, rankine, delisle, newton, réaumur and rømer. Definition of fahrenheit and celsius. Convert 20 degrees celsius to degrees fahrenheit:

Fahrenheit is a scale commonly used to measure temperatures in the united states. In addition to the united states and its territories, fahrenheit is still used in the bahamas, belize, and the cayman islands for most temperature. Enter a value in any field to see the other values. Definition of fahrenheit and celsius. The temperature calculator allows you to convert temperature degrees between celsius, fahrenheit, kelvin, rankine, delisle, newton, réaumur and rømer.

Express A Temperature Of 60 F In Degrees Celsius And In Kelvin Youtube
Express A Temperature Of 60 F In Degrees Celsius And In Kelvin Youtube from i.ytimg.com
Fahrenheit is a scale commonly used to measure temperatures in the united states. The temperature t in degrees fahrenheit (°f) is equal to the temperature t in degrees celsius (°c) times 9/5 plus 32: Apr 02, 2020 · fahrenheit was the standard unit of measure in most countries until the 1960s and 1970s when it was replaced with the celsius scale in a widespread conversion to the more useful metric system. This means that a single degree celsius equals 1.8 degrees fahrenheit. The temperature t in degrees celsius (°c) is equal to the temperature t in degrees fahrenheit (°f) minus 32, times 5/9: Enter a value in any field to see the other values. T (°f) = 20°c × 9/5 + 32 = 68 °f. Water freezes at 0° celsius and boils at 100° celsius.

In the fahrenheit scale, water freezes at 32 degrees, and boils at 212 degrees.

The temperature t in degrees fahrenheit (°f) is equal to the temperature t in degrees celsius (°c) times 9/5 plus 32: The year 2020 ties with 2016 as the warmest on record. T (°f) = t (°c) × 1.8 + 32. Fahrenheit is a scale commonly used to measure temperatures in the united states. Water freezes at 0° celsius and boils at 100° celsius. This means that a single degree celsius equals 1.8 degrees fahrenheit. How to convert fahrenheit to celsius. Apr 02, 2020 · fahrenheit was the standard unit of measure in most countries until the 1960s and 1970s when it was replaced with the celsius scale in a widespread conversion to the more useful metric system. The temperature t in degrees celsius (°c) is equal to the temperature t in degrees fahrenheit (°f) minus 32, times 5/9: How to convert celsius to fahrenheit. In addition to the united states and its territories, fahrenheit is still used in the bahamas, belize, and the cayman islands for most temperature. The temperature calculator allows you to convert temperature degrees between celsius, fahrenheit, kelvin, rankine, delisle, newton, réaumur and rømer. Convert 20 degrees celsius to degrees fahrenheit: